Физик вывел формулу падающего смартфона

отметили
3
человека
в архиве
Физик вывел формулу падающего смартфона
Физик Роберт Мэтьюс из Астонского университета в Бирмингеме (Англия) получил формулу, определяющую угловую скорость вращения смартфона, выпадающего из рук владельца. Об исследовании британского ученого пишет издание Daily Mail.

В модели выскользающий телефон начинает вращение вокруг одного из пальцев руки. При этом центр тяжести аппарата первоначально расположен ниже оси вращения. Это приводит к появлению под действием силы тяжести крутящего момента, в результате чего телефон начинает свое движение и выскальзывает из рук.

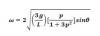
Смартфон в модели представляет собой прямоугольный параллелепипед, а его ось вращения расположена параллельно малой стороне. В формуле для угловой скорости движения телефона участвуют четыре параметра: длина смартфона L, ускорение свободного падения g, начальный угол вращения θ и расстояние δ (между центром тяжести аппарата и осью вращения). источник: icdn.lenta.ru
Добавил linza linza 27 Ноября 2015
проблема (5)
Комментарии участников:
Anton-f
+3
Anton-f, 27 Ноября 2015 , url
Физика 7-й класс?
Buffoon
+1
Buffoon, 27 Ноября 2015 , url
1 вопрос — нахуа?
marvellouz
+5
marvellouz, 27 Ноября 2015 , url
Мы на пороге изобретения телефона кошки, который бы при падении подруливал и всегда падал с наименьшим ущербом для себя.
PM
0
PM, 27 Ноября 2015 , url
Ох уж эти английские ученые… это мы, орки Мордора ракеты да прочую оружию создаем, а они вон какими проблемами заняты))
comander
0
comander, 27 Ноября 2015 , url
сорри, промахнулся с лопаткой. Н


Войдите или станьте участником, чтобы комментировать